Description
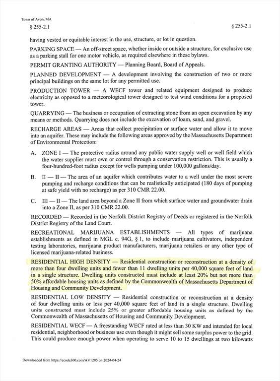
Very Rare RES HD zoning which allows 1 dwelling unit per 4,000 sqft of area. Sale includes two parcels totaling approximately 200,000 sqft and 393' of frontage on Reservoir St. Brockton city sewer and water at street with IMA approval to supply abutting 104 unit project. Easement to 400' of frontage on rte 24. Extremely versatile zoning allows for various uses including numerous residential development options as well as some retail, planned business development and wireless broadcast towers over 100'. Desirable commuting location close to rt 24 to 93 Boston. Some owner financing may be available as well as land leasing opportunities. Buyer to conduct due diligence.
School Ratings & Info
Description
Very Rare RES HD zoning which allows 1 dwelling unit per 4,000 sqft of area. Sale includes two parcels totaling approximately 200,000 sqft and 393' of frontage on Reservoir St. Brockton city sewer and water at street with IMA approval to supply abutting 104 unit project. Easement to 400' of frontage on rte 24. Extremely versatile zoning allows for various uses including numerous residential development options as well as some retail, planned business development and wireless broadcast towers over 100'. Desirable commuting location close to rt 24 to 93 Boston. Some owner financing may be available as well as land leasing opportunities. Buyer to conduct due diligence.
Related Properties
The property listing data and information set forth herein were provided to MLS Property Information Network, Inc. from third party sources, including sellers, lessors and public records, and were compiled by MLS Property Information Network, Inc. The property listing data and information are for the personal, non commercial use of consumers having a good faith interest in purchasing or leasing listed properties of the type displayed to them and may not be used for any purpose other than to identify prospective properties which such consumers may have a good faith interest in purchasing or leasing. MLS Property Information Network, Inc. and its subscribers disclaim any and all representations and warranties as to the accuracy of the property listing data and information set forth herein. Data last updated 2025-11-15T00:04:20.053.
